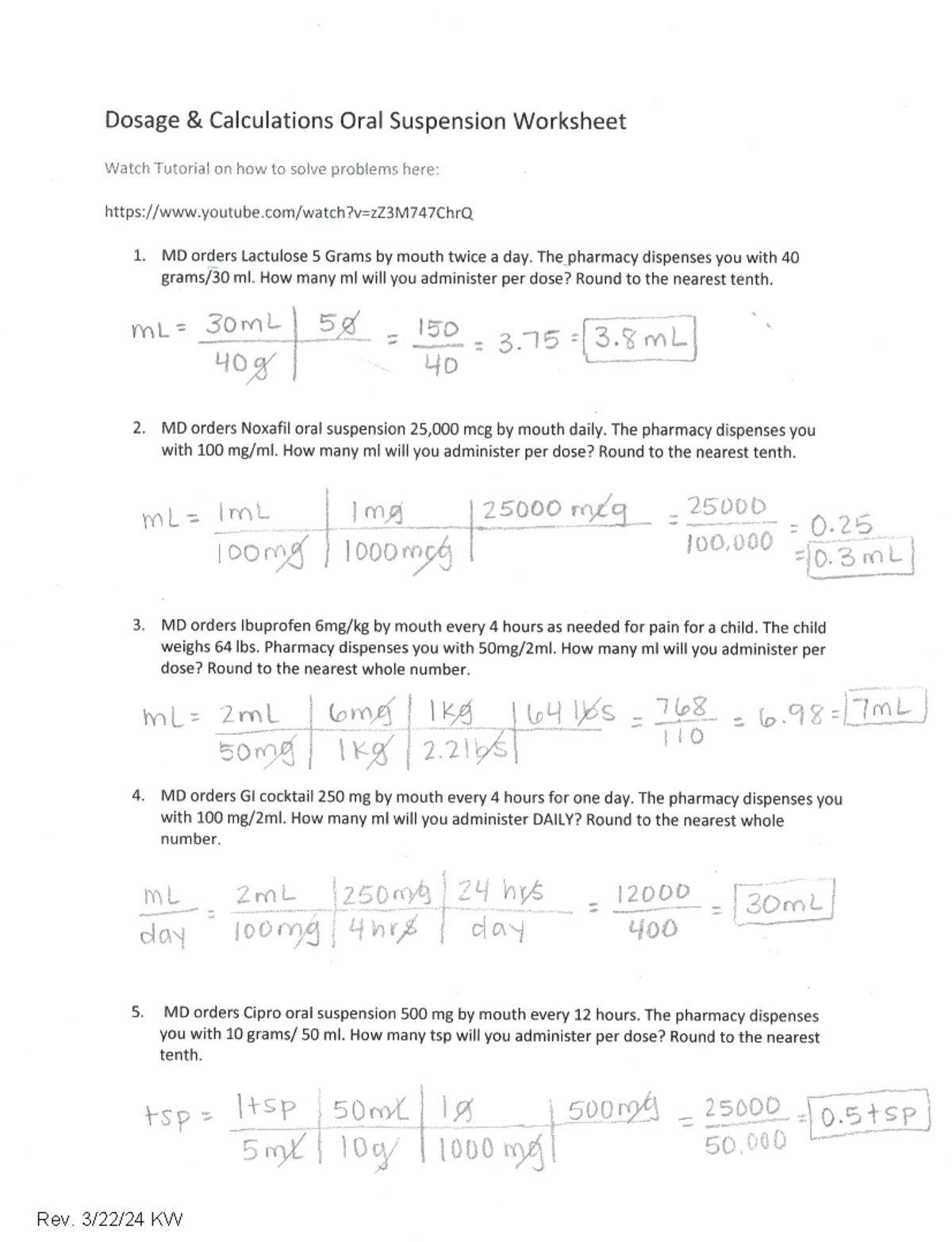
Nursing Math Practice Worksheets

If you’re a nursing student looking to improve your math skills, nursing math practice worksheets can be a helpful tool to sharpen your calculations and dosage measurements. These worksheets are designed to provide practice problems that are relevant to your field of study, helping you build confidence in your math abilities.

Whether you’re preparing for exams, working on homework assignments, or just want to brush up on your math skills, nursing math practice worksheets can offer a structured way to practice and improve. By working through a variety of problems, you can gain a better understanding of the math concepts that are essential for success in the field of nursing.

nursing math practice worksheets

nursing math practice worksheets

Nursing Math Practice Worksheets: A Valuable Resource for Students

One of the key benefits of using nursing math practice worksheets is that they provide a hands-on way to reinforce your learning. By actively engaging with the material through practice problems, you can solidify your understanding of key concepts and develop your problem-solving skills.

Additionally, nursing math practice worksheets can help you identify areas where you may need additional support. By pinpointing specific topics or types of problems that challenge you, you can focus your efforts on improving in those areas, leading to a more well-rounded math skill set.

Overall, nursing math practice worksheets offer a convenient and effective way for nursing students to enhance their math skills. By incorporating these worksheets into your study routine, you can build confidence in your abilities and feel more prepared to tackle the math challenges that come your way in your nursing career.

Math Dose Calculation For Nursing School questions And Answers Etsy

Math Dose Calculation For Nursing School questions And Answers Etsy

Med Math Practice Quiz Questions For Nursing Students Studocu

Med Math Practice Quiz Questions For Nursing Students Studocu

Nursing Dosage Calculation Practice Problems

Nursing Dosage Calculation Practice Problems

11 Med Math Worksheets Free PDF At Worksheeto

11 Med Math Worksheets Free PDF At Worksheeto

Pharmacy Dosage Conversion Practice Worksheet PHM 101 Studocu

Pharmacy Dosage Conversion Practice Worksheet PHM 101 Studocu

Leave a Comment