Are you a nursing student looking to sharpen your medication calculation skills? Practice makes perfect, and med math practice worksheets are a great way to reinforce your knowledge. Whether you’re preparing for an exam or just want to stay sharp, these worksheets can help you build confidence in your calculations.
Medication calculation can be intimidating, but with the right tools, you can master this essential skill. Med math practice worksheets provide a structured way to practice dosage calculations, IV drip rates, and other medication-related math problems. By working through these worksheets, you can improve your accuracy and speed when calculating medication doses.

med math practice worksheets
Improve Your Skills with Med Math Practice Worksheets
These worksheets typically feature a variety of problems that mimic real-world scenarios you may encounter as a nurse. By practicing with these worksheets, you can develop a systematic approach to medication calculations and identify areas where you may need additional practice. Plus, the more you practice, the more confident you’ll become in your ability to accurately calculate medication doses.
Remember, accuracy is key when it comes to medication calculations. Working through med math practice worksheets can help you hone your skills and ensure that you’re prepared to provide safe and effective care to your future patients. So why not give them a try and see how they can benefit your learning journey?
Don’t let medication calculations stress you out. With regular practice using med math practice worksheets, you can build your confidence and proficiency in this critical nursing skill. Start incorporating these worksheets into your study routine today and watch your med math skills improve! Practice makes perfect, so why not give it a shot?

Pediatric Medication Math Practice Worksheet

Quiz Worksheet Math In Pharmacology Practice Study

NSG 320 Med Math Practice Exercises Rounding And Dosage Calculations Studocu

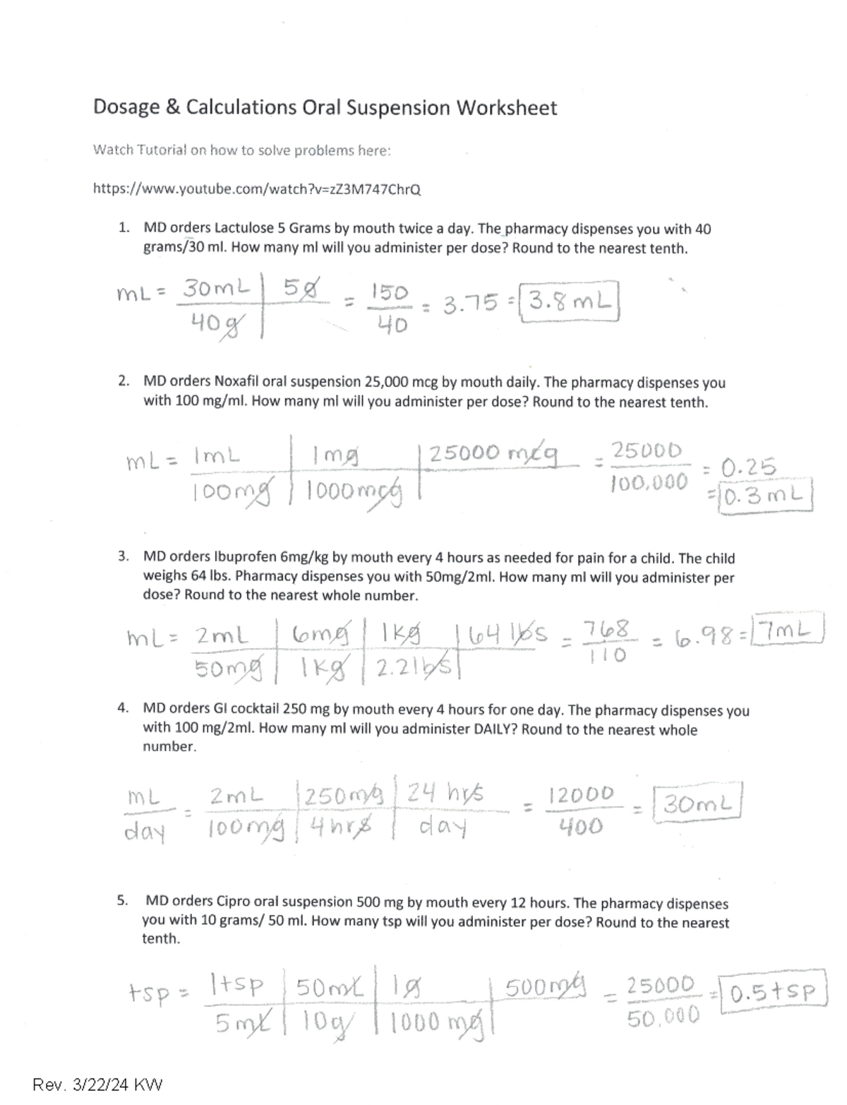
Dosage Calculation Worksheet With Answers Oral Suspension Analysis Studocu

11 Med Math Worksheets Free PDF At Worksheeto